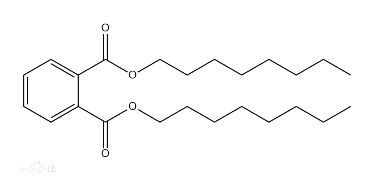
鄰苯二甲酸二辛酯 DOP

由于二辛脂是一種油狀的液體,因此在運輸時需要用槽罐車裝運,在儲存二辛脂時要存放于通風、干燥處,并且注意遠離火源。
|
序號
|
檢驗指標名稱
|
優等品
|
一等品
|
合格品
|
工廠典型值
|
|
1 |
色度,(鉑-鈷)號
|
≤30 |
≤40 |
≤60 |
≤30 |
|
2 |
純度,%
|
≥99.5 |
≥99.0 |
≥99.0 |
≥99.5 |
|
3 |
密度(20°),g/cm3
|
0.982-0.988 |
0.982-0.988 |
0.982-0.988 |
0.982-0.988 |
|
4 |
酸度(以苯二甲酸計),%
|
≤0.010 |
≤0.015 |
≤0.030 |
≤0.010 |
|
5 |
閃點,°C
|
≥196 |
≥192 |
≥192 |
≥196 |
|
6 |
水分,%
|
≤0.10 |
≤0.15 |
≤0.15 |
≤0.10 |
|
7 |
體積電阻率×1010Ω.m
|
≥1.0 |
|
|
≥1.0 |


















